Elle — Ma poupoune en paparmane ! Ils viennent de parler de ton livre à la tivi !
Moi — Hein ? Quoi ? Où ça ?
Elle — À Radiocanne ! À l’émission d’été avec la blondinette et le douchebag !
Moi — Qu’est-ce qu’ils ont dit ?
Elle — Heu… la chroniqueuse a répété ce que tu as dit du bouquin sur ton blog… elle a lu les deux extraits les plus lames du livre… et ensuite elles t’ont traité de chicken shit parce que tu utilises un pseudonyme.
Moi — Charmant. Ça donne vraiment le goût de passer à Tout le monde en parle.
Elle — Hi hi hi hi !
Moi — (Soupire.) Je m’ennuie du chanteur d’opéra qui poussait la note en faisant griller des pork chops.
Elle — Et là, kesss tu faaaaaaaaaaaiis ?
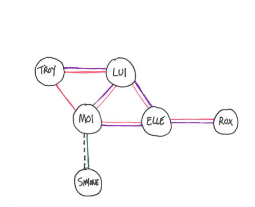
Moi — Je dessine notre polycule. Troy m’a dit qu’il faisait un dessin pour comprendre nos relations amoureuses et j’ai trouvé que c’était loin d’être bête. Regarde : il y a d’abord notre triade…

Moi — Entre nous, il y a des relations amoureuses, que je symbolise avec des lignes bleues… et des relations sexuelles, avec des lignes rouges.

Elle — Joli.
Moi — Ensuite, j’ajoute Roxane, ton amoureuse – et ma première métamour.

Moi — Et puis il y a Troy, aussi. C’est l’amoureux de notre chéri… et mon fuckfriend – faute d’un meilleur mot.

Elle — Ça commence à ressembler à une constellation…
Moi — Une constellation LIBIDINEUSE !
Elle — Finalement, c’est un chouette polycule à cinq participants.
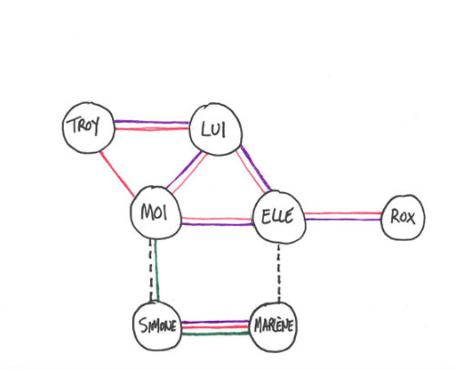
Moi — Ce n’est pas tout. Il y a aussi les ex… celles avec qui on a eu des enfants. D’abord la mienne… avec un trait noir pointillé pour indiquer que c’est une ex-partenaire et un trait vert pour la relation de coparentalité…

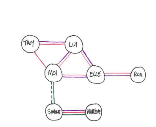
Moi — Simone est aujourd’hui avec Marlène, avec qui elle a eu un autre enfant, alors je l’ajoute.

Elle — Marlène ? Ma Marlène ?
Moi — Comment ça, TA Marlène?
Elle — Je veux dire… Marlène Lepage ?
Moi — Ne me dit pas que tu as couché avec elle…
Elle — C’est une longue histoire. Fais juste la relier à moi avec une ligne pointillée.
Moi — Il va falloir que tu me racontes, ça c’est certain.

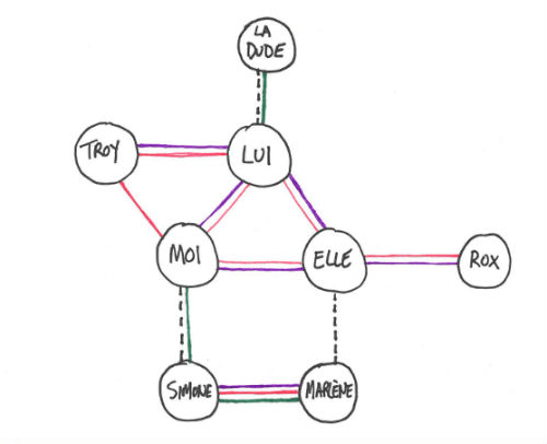
Moi — Enfin, il y a la mère des garçons. Comment elle s’appelle, déjà ?
Elle — Je ne sais plus. Je l’appelle toujours « la dude ».
Moi — Pourquoi ?
Elle — Parce que tous les autres surnoms que j’ai en tête sont pas mal moins polis.
Moi — Alors va pour la dude. Est-elle en relation avec quelqu’un ?
Elle — Je pense que même elle a de la difficulté à avoir une relation avec elle-même, alors…

Moi — Voilà… Je pense que c’est presque fini. Tu sais si Rox a d’autres partenaires… et donc si tu as des métamours ?
Elle — Pas à ce que je sache… mais elle ne me dit pas tout, alors on ne sait jamais.
Moi — Dans ce cas, disons que c’est l’état actuel de notre polycule. Qu’est-ce que tu en dis?
Elle — C’est pas mal… mais ça manque de gens tout nus. Tu peux en ajouter, dis?